このサイトはお使いのブラウザでは正常に動作しません。Google Chromeなど、別のブラウザを使用してください。
逆関数と積分
積分区間の置換のところが関数が入ってきてよくわからなくなりました
そこの説明をよろしくお願いします🙇
(追記: 2025年9月25日21:00)
手法を真似して書いてみたのですがなんかじっくり来ません。
gxーy、dxーf‘ydyの置換をよくわかりましたが、やはりfbとfaです
x=fyよりgx=gfy=yという枠にaとbを入れるだけという理解は正しいでしょうか?
補足をお願いします


回答
悠翔さん、こんにちは。
質問が漠然としていて何を答えればいいのか困っています。
その模範解答のどの行まで納得できてますか?
(追記: 2025年9月24日16:17)
積分の範囲の変換のところですね。
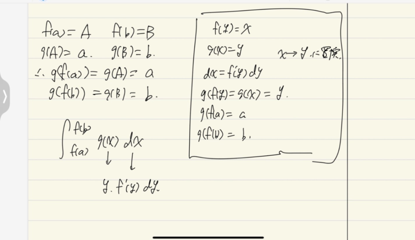
$f(a)=A,f(b)=B$ とします。$g(x)$ は $f(x)$ の逆関数なので、$g(A)=a.g(B)=b$ であるのは大丈夫ですか?
(a→f→A 、b→f→Bなのだから
a←g←A、b←g←Bですよ。)
だから $g(f(a))=g(A)=a,g(f(b))=g(B)=b$ となります。これがyについての積分の範囲です。
積分そのものは、xの関数gを積分したいのですが、のものをyと置換しています。
$g(x)=y$ と置換すると、被積分関数はy。dxはどうなるのか知りたいので$g(x)=y$ より逆関数fを使えば $x=f(y)$ が得られます。大丈夫ですか?
よってdxが求められます。$dx=f'(y)dy$ 。これはOK?
これで「よって$I$=…」の式になります。
これで分かりますか?分かりにくいところはさらに突っ込んで質問してください。
(追記: 2025年9月24日16:20)
上の訂正
$=a.g(B)=$ → $=a,g(B)=$
ですが、のものをy→ですが、g(x)そのものをy
(追記: 2025年9月25日21:22)
追記、拝見。
一番素直なのは、「元にもどる」ということです。
aをfで変換したらf(a)=Aになりました。逆関数というのはAをaに変換することです。
ですからg(f(a))=aだしf(g(A))=Aです。
公式として$f^{-1}(f(x))=x$ とか $f(f^{-1}(x))=x$ と書きます。
それを理解していれば、機械的にそのようにやっていいですが。
解答の10行目で、gはfの逆関数$f^{-1}$ なのですから、それはしごく当たり前のことなのです。
変換して逆変換したら元に戻る!ということですよ。
(追記: 2025年9月25日21:33)
模範解答の6,7行目は置換ですので、yなんか使うので紛らわしいのかもしれません。
単に「g(x)=tと置き換える」でいいのです。
これで積分の上端下端は
「t=g(x)と置き換えるので、x=f(a)のとき置換により、tのときの下端=g(f(a))=a、上端=g(f(b))=b」ならしっくりきますか?
返信遅れてごめんなさい🙇♀️ dx=f‘ydyの行以降の積分区間の置換のところです 逆関数があるゆえに混乱してよくわかりませんでした。
21:22の追記がすごく理解に助かりました そういうことなんですね ありがとうございます
それならよかったです!またどうぞ。