このサイトはお使いのブラウザでは正常に動作しません。Google Chromeなど、別のブラウザを使用してください。
複素数の計算
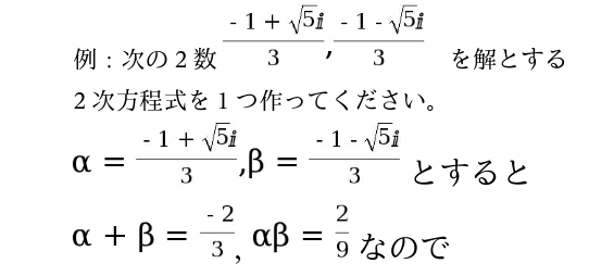
参考書で自習していたら、例題とその解法があり、その中でこう書かれていたのですが
最後のαΒの分子が2になるのが分かりません。
(-1+√5i)(-1-√5i)= (-1)²-(√5i)²=1+5=6 ではないのでしょうか?初歩的な質問ですみません

回答
朽無 みそぎ さん、こんばんは。はじめてのかたですね。よろしく。
初歩的も何も、あなたの方が正しいですよ!
そこに書いてあるα+β、αβの値で2次方程式を作っても違う解になってしまいますものね。
参考書の間違いは困ったものです。この質問箱にも時々模範解答の方が間違っていて、読んでいる生徒が悩んでいるという場合があるのです。
これはもう明らかな間違いですね。
参考書の会社で解答を作っていた人はきっと疲れていたのでしょう。許してあげましょう(笑)。
でも、このおかげであなたは時間を無駄にしてしまったのだから、いっそ出版社に抗議の電話でもしてみますか!
これで大丈夫ですか?
ここでは会話型を目指しています。
これを読んだら、わかったとか、まだこのへんがわからないから説明してほしいとか、コメント欄になにか返事を書いてください。返事がないと、せっかく書いたものを読んでくれたのかどうか、書いたものが役に立ったのか、こちらではわからないのです。コメントよろしく。
くさぼうぼうさん、回答して頂きありがとうございます!初めての利用でしたが、丁寧に教えていただき大変ありがたいです!参考書が間違っていたのですね・・・ 一応この記述の後にも何事も無くこのまま解にたどり着いていて、部分的な誤植って訳ではなさそうだと思い「?」となっていました。(ちなみに数学ではなくて物理の参考書です)繰り返しになりますが大変助かりました。ありがとうございます。
物理ではなくて普通に数学の参考書でした・・・間違えました・・・
そのまま何事もなく…というなら、2/9は2/3の誤植だったんでしょうね。 またどうぞおいでくださいね!