このサイトはお使いのブラウザでは正常に動作しません。Google Chromeなど、別のブラウザを使用してください。
積分計算
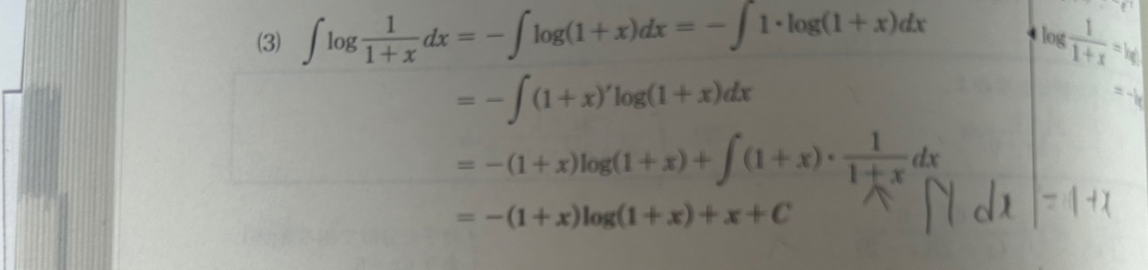
今まで1を積分したらX+1としていましたが、
X(エックス)になっています。
質問なんですが積分定数Cの前に定数を置いたら違和感を覚えますか?

回答
モク ロー さん、こんにちは。
ゴメン、質問がはっきりしないのですが。
「今まで1を積分したらX+1としていましたが」?
1を積分したら普通はx(+C)ですよね。
この問題では置換積分を使ってあとがうまくいくように1の不定積分としてx+1を採用しています。対数の中がx-4なら1の不定積分としてx-4を採用しますが。
質問は、一番最後のところですか?
1+xが約分されて1になり、1の不定積分を求めますから、初めに書いた通り普通はxですよ。
どういう意図かわかりませんが、そこをx+1にしても正解は正解ですが、確かに違和感を感じます。
1は定数なんだからCに吸収させて、書くべきではありません。
他の問題でたとえば不定積分を(x+1)²+Cと書くなら許されます。形がきれいで使いやすい方です。
これを展開してx²+2x+Cにしなくてもいいです。
でも「1+C」はちょっとね。
これで大丈夫ですか?
ありがとうございます!やっぱり1 +Cは変ですか!それが知れてよかったです!ありがとうございます!
どういたしまして。