このサイトはお使いのブラウザでは正常に動作しません。Google Chromeなど、別のブラウザを使用してください。
積分計算
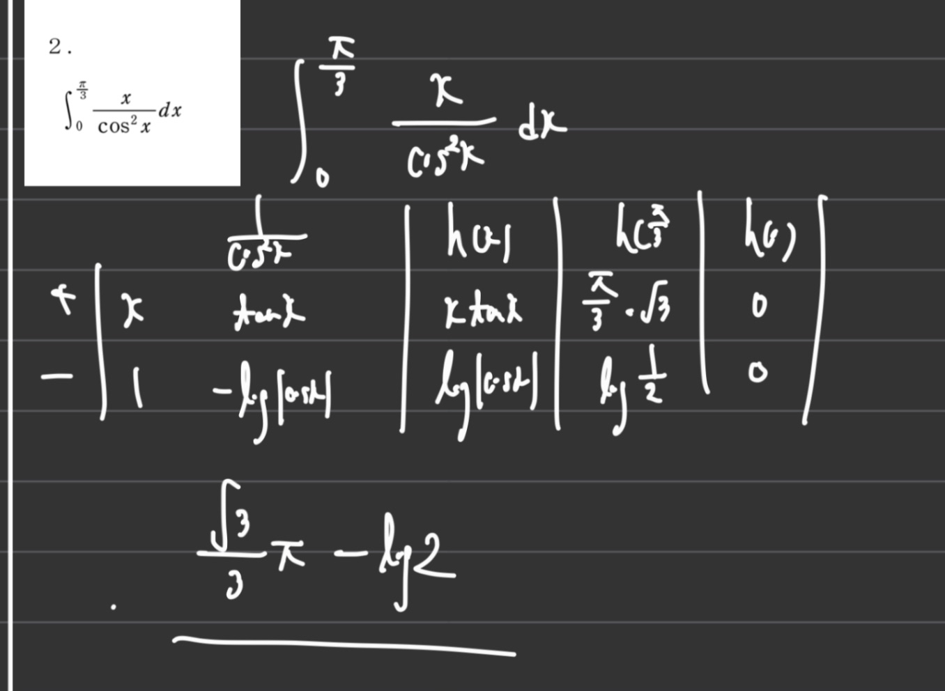
他に解き方が思いつかなかったので部分積分したのですが、やり方あってますか?

回答
晴樹さん、こんばんは。
何が心配なのですか?
質問の趣旨がイマイチなのですが…
部分積分の適用問題です。
それで答は合っています。
その表のようなものは答案ではダメですが。
ちゃんと部分積分の変形途中も書きますよ。
これで大丈夫ですか?コメント欄になにか返事を書いてください。