このサイトはお使いのブラウザでは正常に動作しません。Google Chromeなど、別のブラウザを使用してください。
積分 別解の解釈
こんばんは!積分についてご質問させてください。
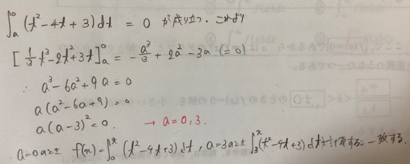
添付画像(2)について、条件を満たす「aの値は複数存在するが、対応するf(x)はただ一つに定まる」という答えの導き出し方が解答で2種類提示されていました。
その方法は、添付画像のようにa=0,3を求めた後に
① a=0,3をそれぞれ代入して積分計算し、出てくるf(x)が一致することを確かめる もしくは
② (0から3の積分値)=0 からa=0,3 におけるf(x)が一致するといえる ※添付画像の(注)に書かれている内容です
というものです。この②の理由が分からず困っています……
解説いただけると嬉しいです。よろしくお願いします!



