このサイトはお使いのブラウザでは正常に動作しません。Google Chromeなど、別のブラウザを使用してください。
奇関数・偶関数の判別
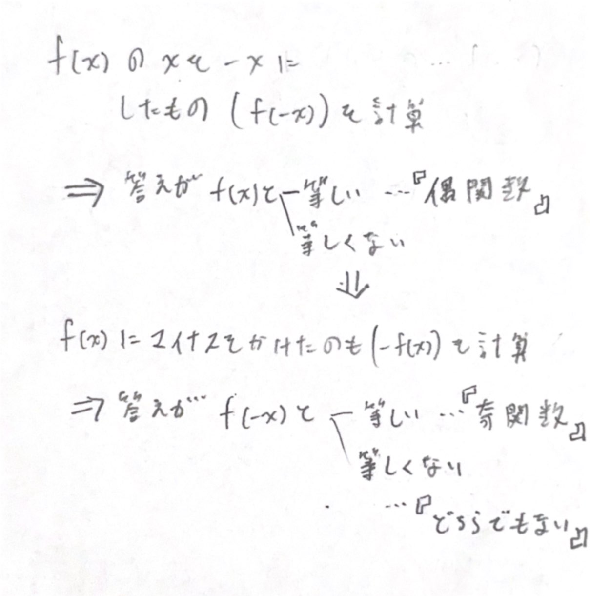
奇関数と偶関数の判別方法は画像の通りであってますでしょうか?
授業では流す程度だったのですが、過去問に出てた際によくわからなかったため教科書を見返して書いてみたのですが、あっているか不安だったため確認していただきたいです。
ご回答よろしくお願いします。

このサイトはお使いのブラウザでは正常に動作しません。Google Chromeなど、別のブラウザを使用してください。
