このサイトはお使いのブラウザでは正常に動作しません。Google Chromeなど、別のブラウザを使用してください。
解が一つのときにaの値
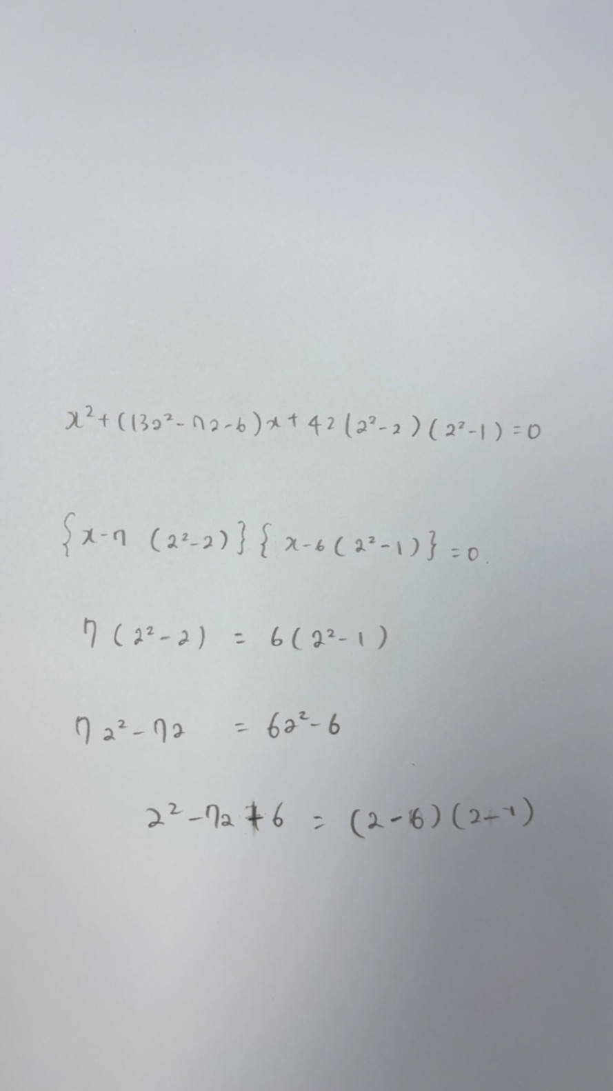
解が一つになる時
◻︎🟰0
は思いつきますがこの先がどう求めたらいいかわかりません。
解説がない問題で答えが1、6です。これが2個あるのもよくわかりません。
展開まで求めました。プロセスを教えてほしいです。よろしくお願いします。
(追記: 2025年11月29日19:11)
追加で解いたもの



回答
ゆ ゆ さん、こんばんは。
な、なんという意地悪な問題でしょう!!!
その2次式は因数分解ができるのです。
なかなかみつぃけられないですが
$(x-7(a^2-a))(x-6(a^2-1))=0$
となります。
ここからxの解が、見かけ上は2個出てきますが、それが同じだ!と考えますよ。
$7(a^2-a)=6(a^2-1)$
この先は自分でやってみて。
コメント欄になにか返事を書いてください。
やっとわかりました!! ありがとうございます!! 最初の因数分解までがとても難しいです。。
そうですよね! こんな問題は無視しましょう(笑)。 またどうぞ。