このサイトはお使いのブラウザでは正常に動作しません。Google Chromeなど、別のブラウザを使用してください。
三角比の値 他2問
解説がなく、解き方がわからず困っています。また似たような問題が問題集にもないため、参考にしながら解くこともできません。どうか解説をよろしくお願いします。

回答
SS ラツィオ さん、こんばんは。はじめてのかたですね。よろしく。
さて、ここは質問箱なので…丸投げは…ちょっと…なんです。
あなたがどこまでできているのかとか、わからないと適切なアドバイスができません。
次回からは、できればあなたのノートの写真をアップしてくれといいのですが。
ここでは会話型を目指しています。会話しながら納得のいくまでおつきあいします。
まずはヒントや方針を書きますよ。
単に解答だけが欲しいのなら他のサイトの方がいいかもしれません。
あと、あなたが小中高浪大院の何年生とか、一般の方とかの情報も教えてください。回答の書き方にも影響しますので。
では、方針やヒントから。
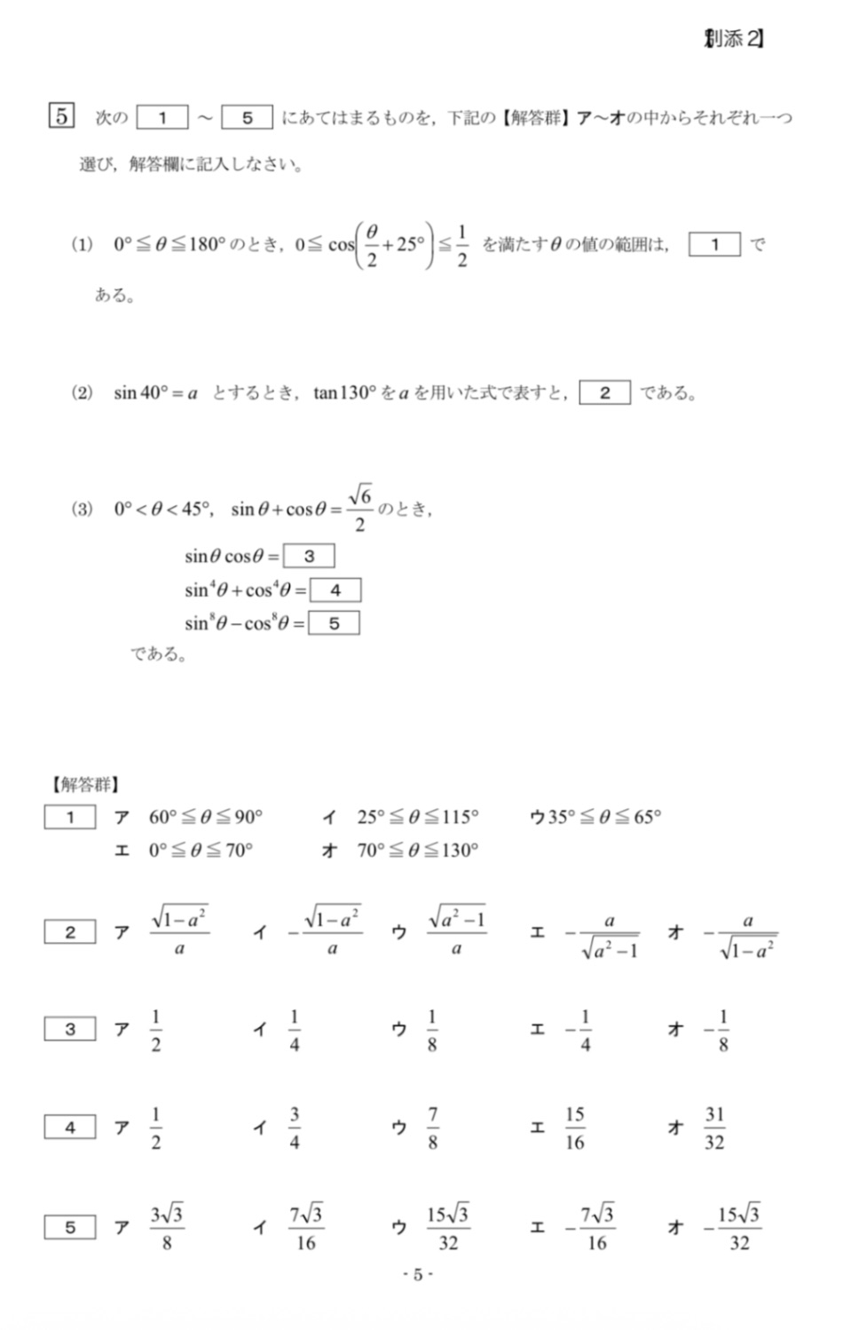
(1)$\dfrac{\theta}{2}+25=t$ とでも置き換えると、その不等式は $0\leqq \cos t \leqq \dfrac{1}{2}$ という単純な不等式になります。ただし $25\leqq t \leqq 115$ です。この不等式は解けますか?解けてtの範囲が求まったら、またθに戻してあげればθの範囲が分かります。これでどうでしょうか?途中で行き詰るようなら、そこまでの経過をアップして下のコメント欄にコメントしてください。以下(2)(3)でも同様です。
(2)教科書、参考書、問題集のどれかを持っているのなら必ず90°+θあるいはθ+90°の三角比の公式が出ているはずです。
130°=40°+90°ですので、その公式を使えばいいのです。
(3)サイン+コサインの値が分かっている時の問題も典型的なものなので、教科書や問題集には必ずあると思います。探してみてください。
このような問題では両辺を2乗するというのがやりかたです。2乗すると□3は分かりますよ。
□4,5はその式を上手に変形して、サイン、コサインの和と積で表わすように持っていきます。
□4では $\sin^2\theta+\cos^2\theta=1$ という式(これは大丈夫ですか?)の両辺を2乗してみましょう。これで何とかなるはずです。うまく変形できなければコメント欄で聞いてください。
□5は、因数分解をしましょう。最後に値のわからない $\sin\theta-\cos\theta$ というのが残ります。これは別に求めなければなりません。
$(a-b)^2=(a+b)-4ab$ という変形は分かりますか?aがサイン、bがコサインだとして当てはめます。で、45°未満なので $a-b<0$ が納得できれば求まります。□5はちょっと大変かもしれません。
これでやってみてください。数学は解答を教えてもらうだけでは力が付きません。自分でやることの応援をします。
いっぺんに全部の再質問はせず、ひとつづつ片付けましょう。
下のコメント欄になにか返事を書いてください。返事がないと、せっかく書いたものを読んでくれたのかどうか、書いたものが役に立ったのかどうか、こちらではわからないのです。コメントよろしく。
============================================
追記 2025/12/12 09:05~
00:51のコメント、拝見しました。「お許しください」なんて言わなくていいですよ(笑)。ここはだれでも質問できる場所ですので、どんどんご利用ください。自力で学習というのもなかなか大変な部分もありますので、ぜひここを利用してください。コメントを読んで、あなたがどこまでできていたのかもわかりましたし、その後やれたところもわかりました。では…(角度の°が入れにくいところもあるので、こちらの都合で省略するところもあります。自分で補ってくださいね)
(1)あなたのおっしゃる通り、全体にかけたり足したりします。
$0\leqq \theta\leqq 180$ という不等式からθ/2の範囲を出すために、全体を2で割ります。$0\leqq \dfrac{\theta}{2}\leqq 90$ 。
さらにθ/2+25°の範囲が知りたいので各辺に25°を足しました。
$25\leqq \dfrac{\theta}{2}+25\leqq 115$ 。ここで $\dfrac{\theta}{2}+25=t$ と置き換えますので、$25\leqq t\leqq 115$ と分かりますよ。これで大丈夫ですか?
(2)解答を書いておきますね。公式は $\tan(\theta+90)=-\dfrac{1}{\tan \theta}$ ですね。なぜこういう公式が成り立つのかは教科書で読んで納得しておいた方がいいです。
$\tan 130°=\tan(40°+90°)=-\dfrac{1}{\tan 40°}$
あとはtan40°をsin40°で表わします。
まずcos40°を求めます。
sin²40°+cos²40°=1ですから、これよりcos²40°=1ーsin²40°だからcos²40=1-a²。
鋭角のコサインは正だから $\cos 40° =\sqrt{1-sin^2 40°}=\sqrt{1-a^2}$
$\tan40°=\dfrac{\sin40°}{\cos40°}=\dfrac{a}{\sqrt{1-a^2}}$
よって $\tan 130°=-\dfrac{1}{\tan 40°}=-\dfrac{\sqrt{1-a^2}}{a}$
(3)の□4です。
まず $\sin^2\theta+\cos^2\theta=1$ という正しい式があります。この両辺を2乗します。
$\left(\sin^2\theta+\cos^2\theta\right)^2=1^2$
$\sin^4\theta+2\sin^2\theta\cos^2\theta+\cos^4\theta=1$
これより $\sin^4\theta+\cos^4\theta=1-2\sin^2\theta\cos^2\theta$
$\sin^4\theta+\cos^4\theta=1-2(\sin\theta\cos\theta)^2$
□3で$\sin\theta\cos\theta=\dfrac{1}{4}$ ですから、それを代入して、
$\sin^4\theta+\cos^4\theta=1-2\left(\dfrac{1}{4}\right)^2=\dfrac{7}{8}$
□5では、与式を因数分解すると
$\sin^8\theta-\cos^8\theta=(\sin^4\theta+\cos^4\theta)(\sin^2\theta+\cos^2\theta)(\sin\theta+\cos\theta)(\sin\theta-\cos\theta)$
となりましたか?はじめの3つの因数の値は分かっています。あとは $\sin\theta-\cos\theta$ の値ですね。
$(\sin\theta-\cos\theta)^2=(\sin\theta+\cos\theta)^2-4\sin\theta\cos\theta=\dfrac{1}{2}$ が得られます。
2乗して1/2なので±1/√2の2つが考えられますが、45°未満の三角比は、右下が直角であるような直角三角形の左下の角が45°未満の図を書いてみれば、底辺の方が高さより長いので、高さ/斜辺<底辺/斜辺。よってsinθ<cosθ。よってsinθーcosθ<0です。
したがって$\sin\theta-\cos\theta=-\dfrac{1}{\sqrt{2}}$ と分かります。
これを代入して計算すると $\dfrac{7\sqrt{3}}{16}$ が得られますよ。
計算がうまくいかないときは、途中までの式あるいは違った答が出た式のノートの写真をアップしてください。間違いを見つけますので。
がんばってください。やってみた後、下のコメント欄になにか返事を書いてください。
初めて質問させていただきましたが故に中途半端な投稿で申し訳ございません。お許しください。ちなみに不登校気味の高一です。また質問した問題は、とある大学の過去問です。残念ながら、いくつかわかりかねますので、再び質問させてください。 ⑴25≦t≦115はどのように導きましたのでしょうか?両辺に何かをかけたり、足したりしたのでしょうか?謎が残ります。自力では難しそうです。 (2)、(3)の3はヒントのおかげで解けました。 (3)の4は、(3)の3を2乗することを利用して解くという手順でOKなのでしょうか?ちなみに答えはウの7/8になりました。 (3)5は 因数分解をして、(a-b)²=√6/2-1という形が出たのですが、そのあとがわかりません。また45°未満なので a-b<0という部分が納得できません。 不躾な質問ですが解説よろしくお願いします。
上の回答に追記しました。読んでください。 (a-b)²=√6/2-1というのは間違っていますね。√6/2の2乗ですね。