このサイトはお使いのブラウザでは正常に動作しません。Google Chromeなど、別のブラウザを使用してください。
2次関数
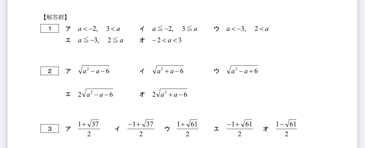
解答群3の問題に困ってます。途中までの過程はなんとなく求めてみたものの、苦戦中。
ちなみに解答群1、2はそれぞれアとエになり、一応解けました。3は絶対値を使うのかな?とは思うのですが....
回答よろしくお願いします。



回答
SS ラツィオ さん、こんにちは。
2がエで正解なら、エの式=6という方程式を作り、両辺を2で割ってから両辺を2乗すれば、普通の2次方程式になりますね。その解の内の正のやつが3の答です。
どこでひっかかったのかな?
コメント欄になにか返事を書いてください。よろしく。
くさぼうぼうさま、回答していただき誠にありがとうございます。 両辺を2で割るのはまだしも、勝手に2乗してルートを外していいのでしょうか? とにかく難しく考えすぎていたようです。 気をつけます。
等式ですから無条件で2乗しても大丈夫ですよ。ただし同値変形ではないので、余計な解が含まれるかもしれないので、あとで確認が必要になりますが。