このサイトはお使いのブラウザでは正常に動作しません。Google Chromeなど、別のブラウザを使用してください。
ベクトル 空間図形の成分表示
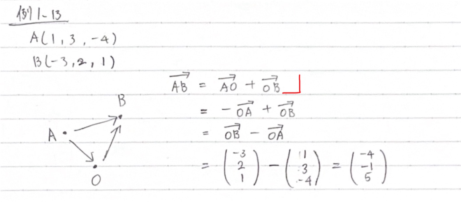
画像の例1.13について質問です。
(このノートは授業の板書の写しです。)
画像の赤く書いたところまではわかるのですが、その後なぜこうなるのかがわかりません。
$\boldsymbol{AO}$と$\boldsymbol{OB}$が$\boldsymbol{AB}$になるのはつながってるので良くわかるのですが、$\boldsymbol{-OA}$と$\boldsymbol{OB}$は飛んでいてぜんぜん違う方向にいきませんか?
どうしてこのようになるのか教えていただきたいです。
ご回答よろしくお願いします。

回答
くりさん、こんにちは。回答が遅くなりゴメン。
「−OAとOBは飛んでいて」?離れているっていうこと?離れてないよ。
ベクトルAOの始点をOにしたかったので、ベクトルPQ=-ベクトルQPということを使っています。ここは字面だけで考えた方が楽です。またそのように考えられるところがベクトルのいいところで、図形のことが計算で調べられるようになるのですね。
さて、あなたはベクトルーOAをどんなイメージでとらえていますか?OAの反対向きベクトルです。つまりAOなんだから飛んでないし問題ないのです、って、これじゃあなたの質問に答えてないかぁ。
式の2行目はいちおう足し算の式です。でも足し算は初めの終点と2番目の始点が一致している時簡単にできますが、-OAとOBの足し算ととらえても始点と終点の一致がないので足し算では簡単にはできません。でもこれを項の順を変えて引き算としてみれば、始点が同じ2つのベクトルは引き算して簡単にできますので、それをやっていますよ。
これでも回答になってないかな?難しいな。
大事なことは、ベクトルって大きさと方向を持った数なので、図形の性質を調べる時にベクトルの計算だけでできる、ということなのです。
今の質問でも、そのように「あくまでも数の計算」と割り切ってベクトルABを求めると、その成分の2乗の和の平方根で「線分ABの長さ」を求めることができます!ベクトルは数!機械的に計算できるもの! と思って便利に使ってください。
う~む、これでもあなたの疑問が解消できたか~自信がないです。
くさぼうぼうさん、こんにちは。 いつもご回答ありがとうございます。 Aまで行った後、次にOから始まっているから繋がっていないと思いまして。 Aを始点としてOBを平行移動したものを足しても、その終点は点Bにはならなくないか?と思ったのです。 普通にまずーOAの意味をわかっていなかったようなので復習してみます。 確かに数としてみれば分かりやすいですね!次から単純に数として考えてみることにします。
-OAというのはOAの逆向き、つまりAOですのでね。 なお、ベクトル自体は平行移動可能ですから、必要に応じて始点と終点を重ねように動かすこともありです。