このサイトはお使いのブラウザでは正常に動作しません。Google Chromeなど、別のブラウザを使用してください。
解説なしの問題なのでこの解き方で良いか教えてください
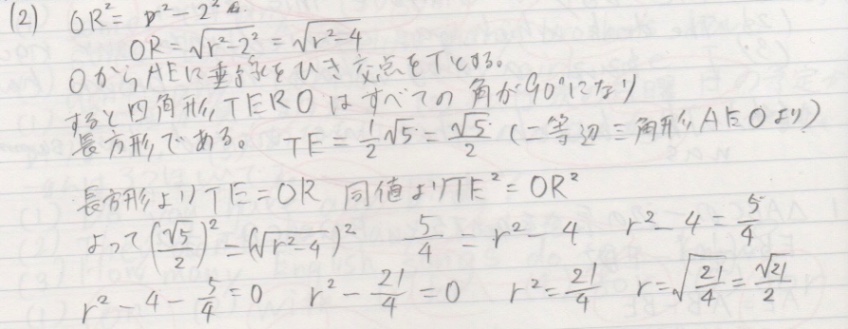
まず、この解き方で良いか教えてください。よりよい解き方があれば教えてください。
また、3の(2)ですが、DF=4となるとするとABよりDFのほうが大きくなり矛盾した図形になるのではないでしょうか?




回答
zyjtiek さん、こんばんは。
1.間違いはありません。もっと良い解法はないと思います。あなたの説明の中には「30°60°の」直角三角形という説明がないのが気になります。また、1辺の長さをaとするより、解法が頭に浮かんだ時点で、EBが1/4だと分かりますから(あるいは分かった時点で)1辺の長さを4aとすれば計算はずっとスッキリしますね。
2.完璧です!
3.あ!ほんとだ。DF=4では矛盾していますね。
AB=3,AE=2,EC=4では、AからCDに引いた垂線は辺CDではなくCDのC方向への延長で交わりますね。
問題文にある「CD」を辺、線分と解釈するか「直線CD」とするかですが、問題文だけではあいまいですので、よい問題文ではありませんね。
でもFがDCの延長上にある図で考えればあなたの計算で大丈夫です。
あなたの解法はそれでいいと思います。かなり詳しく説明を書いていて、それはそれで悪いことではないです……が…もう少し無駄を省いてもいいかと思いました。
これで大丈夫ですか?
詳しくみてくださり、ありがとうございます! 4aとすると計算ミスも減り良いですね。 その他いろいろとアドバイスしてくださったことを今後に生かしていきます。
はい、がんばってください!!