このサイトはお使いのブラウザでは正常に動作しません。Google Chromeなど、別のブラウザを使用してください。
ベクトル
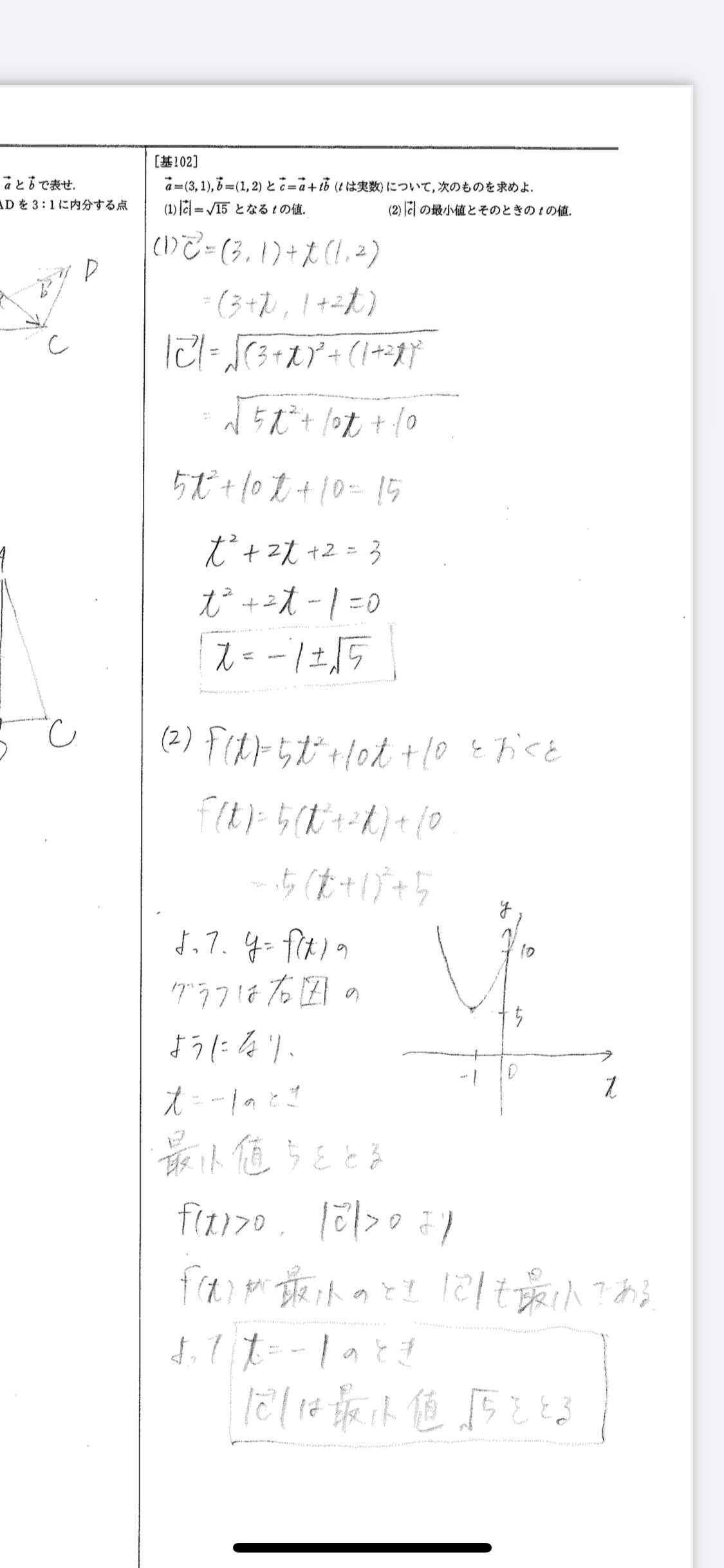
変形のあたりで、わからないところがあります。私の理解であっているのか、またその変形をして良いのか教えて頂きたいです🙏
少し見にくいですが解答も載せておきます🙇♂️




回答
①勝手にというか、あたりまえのことをしてるだけなので別に良いと思います。同じベクトルなら同じ大きさになりますから。
②二乗する際は注意が必要です。二乗する式の両辺が正である事を確認する必要があります。ただ、今回は両辺に絶対値が付いていて、両辺正なので二乗してしまっても問題ないです。でも、二乗しなくても解けそうな気はします。
⭐︎$| |$は絶対値記号ですが、ベクトルにおいては大きさを表す$| |$の記号は「ノルム」と言うそうです。詳しくは以下のリンクhttps://note.com/trytech1628/n/n556c97862010
赤ペンの方ですが、その考え方で正しいと思いますよ😄
$|c|$を$√$のまま考えるのは少々ややこしいから、二乗してしまってから解いて、後から二乗を外して戻すというのは良いと思います🙆
ありがとうございます🙇♂️
高校数学では「ベクトルの大きさ」「ベクトルの絶対値」で大丈夫です。ノルムは大学に行ってから。
『等式』の両辺を2乗することは問題ありません。両辺が負の数で等しい場合でも大丈夫ですよ。片方が正、片方が負ということはあり得ませんし。不等式の時は要注意ですが。ただ、2乗して得られた等式は必要条件でしかないでぬから、そちらの方が要注意です。2乗して得られた結果は必要条件なので、十分であることの確認は大事です。
お返事遅くなりすみません💦 なるほど!ありがとうございます。