このサイトはお使いのブラウザでは正常に動作しません。Google Chromeなど、別のブラウザを使用してください。
比の考え方



回答
>これも、下の写真が解答のようですが、これはどこから得たものでしょうか? もともと解答がない問題ですが、誰かが解いた解き方をたまたまネットで見つけて、そこから、引用しました。今はこのサイトは削除されていたのでリンクは分かりません。 >ここには何の説明もなく式だけしかないので、そもそもこの式のxの意味は分かりますか?2xの意味は大丈夫ですか? タイルAとタイルBの比が4:6なので、2:3。比に実際のタイルの枚数は分からないのでXとして比に掛けたものだと思います。 >内側の正方形の1辺と同じものを上下左右に伸ばすと、4スミに1個ずつ隙間ができちゃうので、4個のタイルを追加して外側の周を作るということですよ。 4スミに1個ずつ隙間ができることは理解できるのですが、なぜ、一個ずつを「1」としてカウントするのかが理解できないのです。「1」としてカウントするのは、4スミの一片の長さが1だからなんでしょうか?(問題文の図Ⅰ)
4スミに1個ずつを「1」としてカウントしていますが、仮に、タイルBの一辺の長さが2cmの場合でも、「1」としてカウントして1×4スミとして考えるのでしょうか?
そうですよ。今は個数を考えているのですから「タイル1個」の1です。1個が4カ所でタイル4個です。面積を考えるのなら1辺の長さ次第で「正方形の面積かkる4」とやりますが、この問題ではまったく不要です。
ありがとうございます。理解できました。 コメント回数制限で返信が出来なかったのですが、システム上制限はあるのでしょうか?
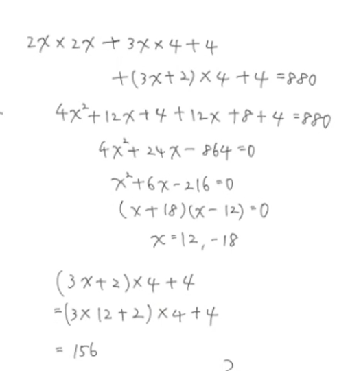
資料アップしました。
私もコメント制限されました!続けていくつかコメント書くと制限されますね。なぜかなあ?このサイトは私が作ったわけでもないし、管理者でもありません。ですから仕組みはよくわかりません。私は単なるボランティア回答者です。
ご回答ありがとうございます!